Organ Physical Modelling

Organ pipe physics

A pipe converts quasi-steady energy into oscillating energy

The organ pipes belong to the so-called self-sustained instrument family. They transform a continuous energy (the air flow) into a quickly oscillating energy (the acoustic vibration) thanks to a feedback loop. Organ pipes are DC/AC converters!

The feedback loop consists in an exciter and a resonator.

The exciter transforms continuous energy into oscillating energy. In the case of flue pipes, the air jet impacts the labium and creates the acoustic vibration. In the case of reed pipes, the reed beats because of the upstream and creates the acoustic vibration.

The resonator is the air column of the pipe. It filters, accumulates and restores the oscillating energy to the exciter and to the external world.

DC to AC energy

Flue pipe physics

The sound generation in flue pipe results from the interaction between an air jet and the acoustic vibration of the air column of the pipe. The air jet is induced by the upstream pressure when opening the valve of the pipe.

Jet labium
Schlieren visualization of an air jet impacting the labium in square flue pipe. This is slowed down about 100 times.

When the jet impacts the pipe labium, it injects flow from both side of the labium. This flow injection acts as an acoustic pressure source near the mouth of the pipe. The pipe is feed with acoustic energy that can propagate through it. The pipe filters the vibration near the frequencies it prefers: the resonance frequencies.
While the acoustic vibration establishes within the pipe, it modulates the jet propagation: a small acoustic perturbation at the channel exit propagates and grows along the jet. When impacting the labium again, the flow injection is actually modulated by the acoustic vibration that occured earlier at the jet birth. This closes the feedback loop.

Flue pipe
Feedback loop

During the propagation of the acoustic wave through the pipe, a small amount of energy is radiated outside from the mouth and from the other end. This is the sound that we hear.

In other words, the physics of flue pipe can be seen as an audio feedback, or a Larsen effect, where the jet/labium interaction would be the speaker (it produces sound) and where the pipe would be the microphone (it stores acoustic vibration).

How the pipe shape affects the sound

The pipe acts like a reservoir which stores and restitutes energy at the frequencies it prefers. These are calls resonance frequencies. The pipe can also stores energy at other frequencies, but it is less efficient. The way the pipe is able to store energy for a given frequency is call the admittance: the stronger the admittance, the more energy is stored and restituted.

The scale of the pipe -- ratio diamater/length -- has a strong effect on the resonance frequencies and on the admittance. A narrow pipe has more sharp and closest resonances than a wide pipe. The resonance frequencies of a narrow pipe are closest to the harmonics of the sound, than the ones of a wide pipe. A narrow pipe provides a much reacher sound than a wide pipe.

Gambe
Flue Gambe
Gambe
Admittance of the Gambe. The gray dashed lines represent the harmonics where the pipe is expected to sound. The Gambe (narrow pipe) provides a strong admittance almost near all the harmonics. This results in a richer sound.
Flute
Flue Flute
Flute
Admittance of the Flute. The gray dashed lines represent the harmonics where the pipe is expected to sound. The Flute has a weaker admittance near the harmonics. This results in a much clear sound.
Bourdon
Flue Bourdon
Bourdon
Admittance of the Bourdon. The gray dashed lines represent the harmonics where the pipe is expected to sound. The Bourdon even lacks an admittance peak on the 2nd harmonic: the next harmonic is the 3rd (a fifth), typical sound of the Bourdon.

How the upstream pressure affects the sound

The flue pipe is a phase-locked system. The sound results from a balance between the air jet (exciter) and the pipe (resonator). When increasing the upstream pressure, the jet velocity increases too. To compensate and keep the system balanced, the propagation of the acoustic wave within the pipe is modified, in agreement with what the pipe allows. In the case of a flue pipe, when increasing the upstream pressure, the frequency of the sound increases as well as its intensity. In addition the distribution of the relative energy among the harmonics is modified and so the timbre.

Increase presure frequency
Frequency as function of the upstream pressure, in cents (deviation with respect to the nominal frequency).
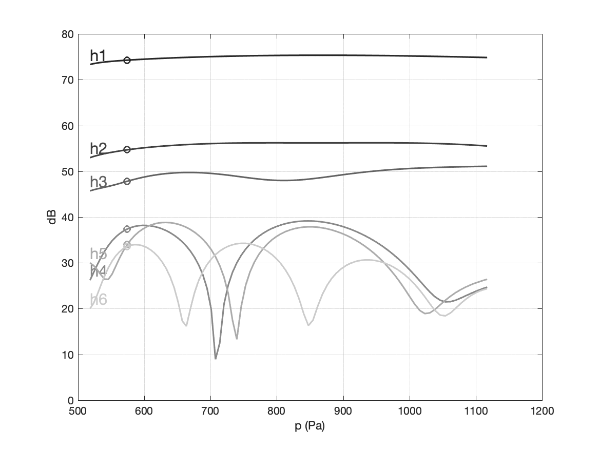
Increase presure amplitude
Amplitude of the 6 first harmonics as function of the upstream pressure, in dB.

Consequences for the tremulant

The tremulant is a mechanical device that modulates the air flow and thus the upstream pressure of the pipes. There are many types of tremulants. Here is a sketch of a basic one:

Tremulant

As seen in the previous section, lowering or increasing the upsteam pressure affect the pitch, the intensity and the spectral content of the sound. When the upstream pressure is periodically modulated, these three aspects of the sound (pitch, intensity, timbre) are modulated too.

Frequency
Increase presure frequency
Frequency as function of the upstream pressure, in cents (deviation with respect to the nominal frequency).
Amplitude
Increase presure amplitude
Amplitude of the 6 first harmonics as function of the upstream pressure, in dB.

In sample-based organ plugins, the tremulant is emulated using a post effect filter. It is supposed to mimic the modulation described above. In Organteq, the upstream pressure modulation is used as a direct input of the model. The variations of pitch, intensity and timbre are generated by the model itself.